头号玩家(中国)唯一官方网站

头号玩家(中国)唯一官方网站

目今位置: 首页 > 信息果真 > 通知通告

头号玩家(中国)唯一官方网站集团2019年度工程手艺中、初级职务任职资格评审效果公示

头号玩家(中国)唯一官方网站宣布时间:2019-11-25 18:00

头号玩家(中国)唯一官方网站泉源:湖北省团结生长投资集团

头号玩家(中国)唯一官方网站点击量:

凭证湖北省团结生长投资集团有限公司工程手艺中级职务任职资格评审委员会(以下简称“头号玩家(中国)唯一官方网站集团中评委”)事情安排,, ,,,,,,头号玩家(中国)唯一官方网站集团中评委已组织开展了2019年度工程手艺中、初级职务任职资格评审。。。。。。。

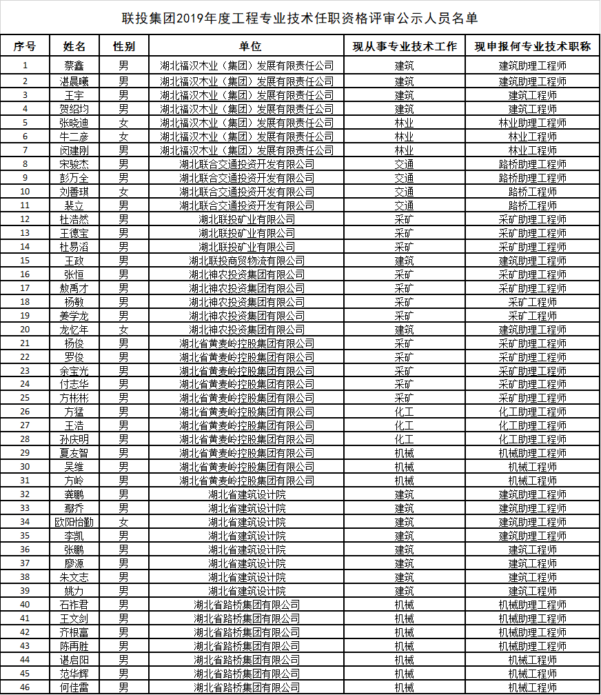
本次职称评审共涉及修建、交通、机械、水利电力、化工、采矿、林业七大类,, ,,,,,,修建工程、市政工程、工程治理、给水排水、修建设计、修建结构、修建施工、工程造价、岩土工程、路桥、仪表、机电、挑撰矿、林学、化工工艺等15个专业,, ,,,,,,184人通过评审,, ,,,,,,现将审核确认通过职员(名单附后)举行公示。。。。。。。公示时间为5天(2019年11月25日至11月29日)。。。。。。。公示时代如对公示效果有异议,, ,,,,,,可通过电话、短信、邮箱方法向头号玩家(中国)唯一官方网站集团工程手艺中级职务任职资格评审委员会反应。。。。。。。反应情形要坚持实事求是的原则,, ,,,,,,以便调审核实。。。。。。。

联系电话:027-81737765

邮箱:HR_ltjt@126.com

附件:头号玩家(中国)唯一官方网站集团2019年度工程专业手艺任职资格评审公示职员名单



湖北省团结生长投资集团有限公司

工程手艺中级职务任职资格评审委员会

 2019年11月25日




附件:

头号玩家(中国)唯一官方网站

头号玩家(中国)唯一官方网站

头号玩家(中国)唯一官方网站

头号玩家(中国)唯一官方网站

【网站地图】【sitemap】